Лого сайта Reshaka.com

Решака - онлайн ответы Алгебра Мерзляк, Поляков за 8 класс Учебник Углубленный уровень ФГОС 2020 - 34

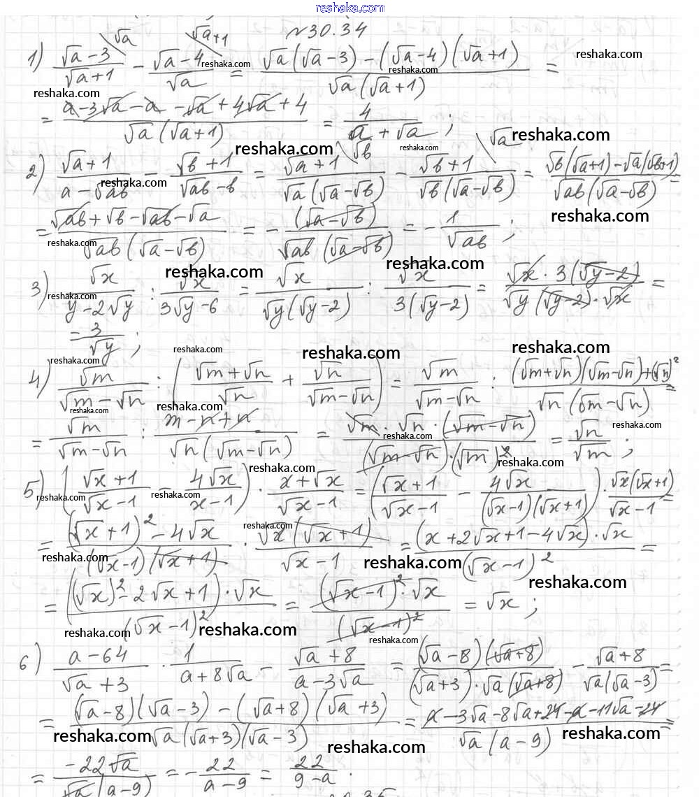
Представляем вам сборники по Алгебре, с готовыми ответами к Учебнику Мерзляк школьной программы для учеников восьмой класса. Это не просто гдз с ответом, а с подсказками, как верно решить §30. Тождественные преобразования выражений, содержащих арифметические квадратные корни Глава 5. Квадратные корни. Действительные числа 34. Проверяй домашку с умом и получай высший балл!