Лого сайта Reshaka.com

Решака - онлайн ответы Алгебра Мерзляк, Поляков за 8 класс Учебник Углубленный уровень ФГОС 2020 - 1

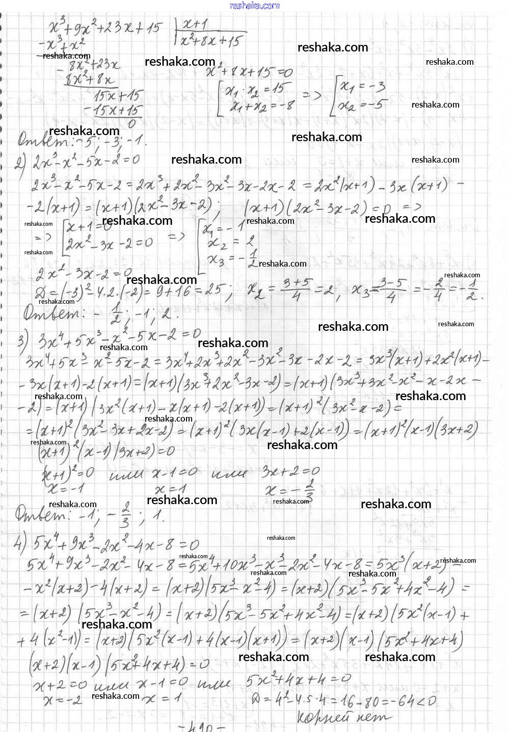
Представляем вам сборники по Алгебре, с готовыми ответами к Учебнику Мерзляк школьной программы для учеников восьмой класса. Это не просто гдз с ответом, а с подсказками, как верно решить §41. Целое рациональное уравнение Глава 6. Квадратные уравнения 1. Проверяй домашку с умом и получай высший балл!