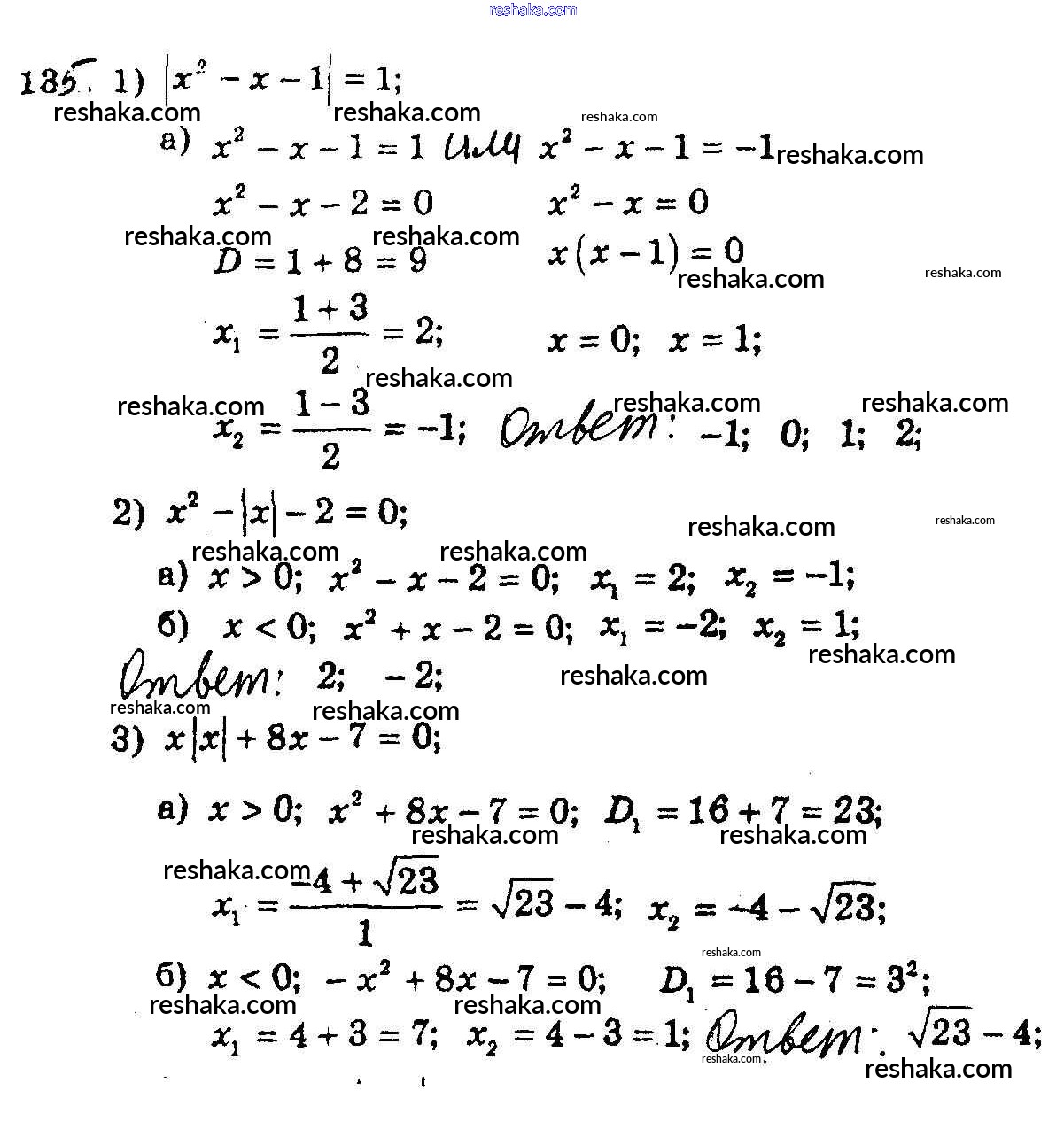
Решака - онлайн ответы Алгебра Мерзляк, Полонский за 8 класс Дидактические материалы ФГОС 2016 - 135
Решебник 1
упражнение / вариант 1 / 135
                            Решебник 2
упражнение / вариант 1 / 135
                            
            Представляем вам сборники по Алгебре, с готовыми ответами к Дидактическим материалам Мерзляк школьной программы для учеников восьмой класса. Это не просто гдз с ответом, а с подсказками, как верно решить Вариант 1 Упражнения 135. Проверяй домашку с умом и получай высший балл!