Лого сайта Reshaka.com

Решака - онлайн ответы Алгебра Мерзляк, Полонский за 8 класс Дидактические материалы ФГОС 2016 - 104

Решебник 1

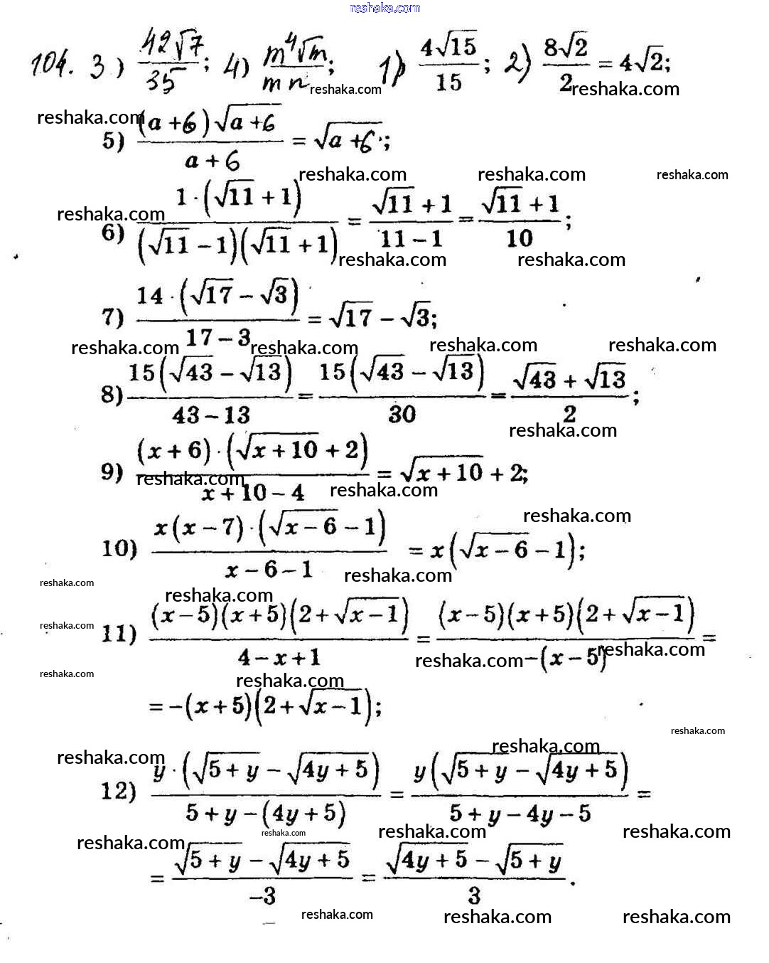
упражнение / вариант 2 / 104

Решебник 2

упражнение / вариант 2 / 104

Представляем вам сборники по Алгебре, с готовыми ответами к Дидактическим материалам Мерзляк школьной программы для учеников восьмой класса. Это не просто гдз с ответом, а с подсказками, как верно решить Вариант 2 Упражнения 104. Проверяй домашку с умом и получай высший балл!