Лого сайта Reshaka.com

Решака - онлайн ответы Алгебра Мерзляк, Полонский за 8 класс Дидактические материалы ФГОС 2016 - 161

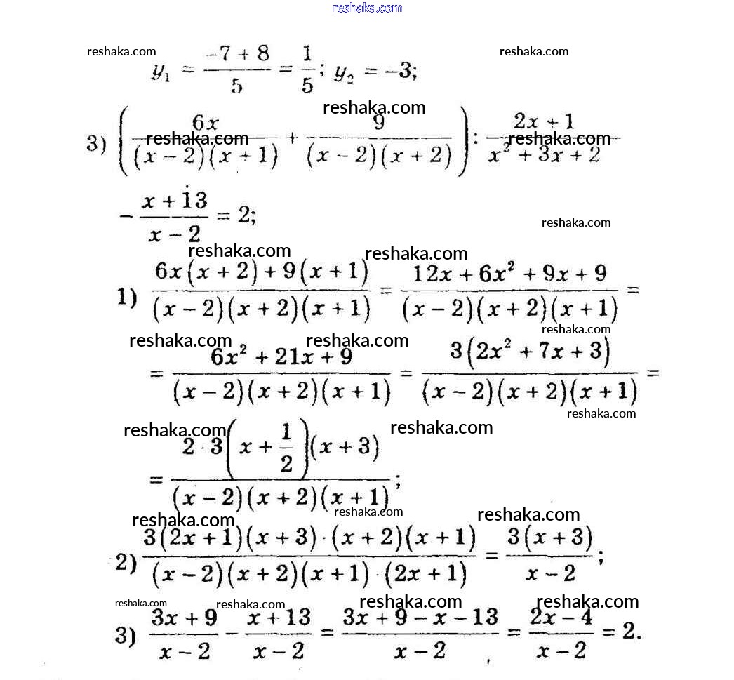
Решебник 1

упражнение / вариант 2 / 161

Решебник 2

упражнение / вариант 2 / 161

Представляем вам сборники по Алгебре, с готовыми ответами к Дидактическим материалам Мерзляк школьной программы для учеников восьмой класса. Это не просто гдз с ответом, а с подсказками, как верно решить Вариант 2 Упражнения 161. Проверяй домашку с умом и получай высший балл!