Лого сайта Reshaka.com

Решака - онлайн ответы Алгебра Мерзляк, Полонский за 8 класс Дидактические материалы ФГОС 2016 - вариант 1

Решебник 1

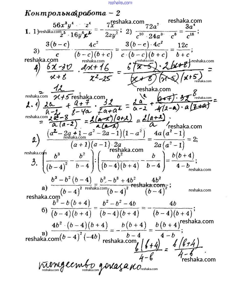
контрольная работа / кр-2 / вариант 1

Решебник 2

контрольная работа / кр-2 / вариант 1

Решебник 3

контрольная работа / кр-2 / вариант 1

Представляем вам сборники по Алгебре, с готовыми ответами к Дидактическим материалам Мерзляк школьной программы для учеников восьмой класса. Это не просто гдз с ответом, а с подсказками, как верно решить КР-2. Умножение и деление рациональных дробей. Тождественные преобразования рациональных дробей Контрольные работы вариант 1. Проверяй домашку с умом и получай высший балл!