Лого сайта Reshaka.com

Решака - онлайн ответы Алгебра Мерзляк, Полонский за 8 класс Дидактические материалы ФГОС 2016 - вариант 1

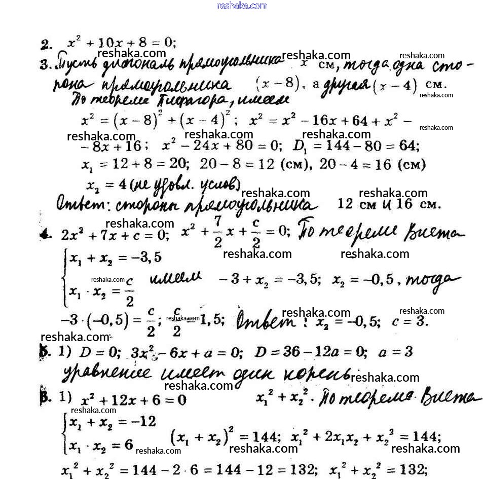
Решебник 1

контрольная работа / кр-5 / вариант 1

Решебник 2

контрольная работа / кр-5 / вариант 1

Решебник 3

контрольная работа / кр-5 / вариант 1

Представляем вам сборники по Алгебре, с готовыми ответами к Дидактическим материалам Мерзляк школьной программы для учеников восьмой класса. Это не просто гдз с ответом, а с подсказками, как верно решить КР-5. Квадратные уравнения. Теорема Виета Контрольные работы вариант 1. Проверяй домашку с умом и получай высший балл!