Решака - онлайн ответы Алгебра Мерзляк, Полонский за 8 класс Дидактические материалы ФГОС 2016 - вариант 1
Решебник 1
контрольная работа / кр-6 / вариант 1
                            Решебник 2
контрольная работа / кр-6 / вариант 1
                            
                            Решебник 3
контрольная работа / кр-6 / вариант 1
                            
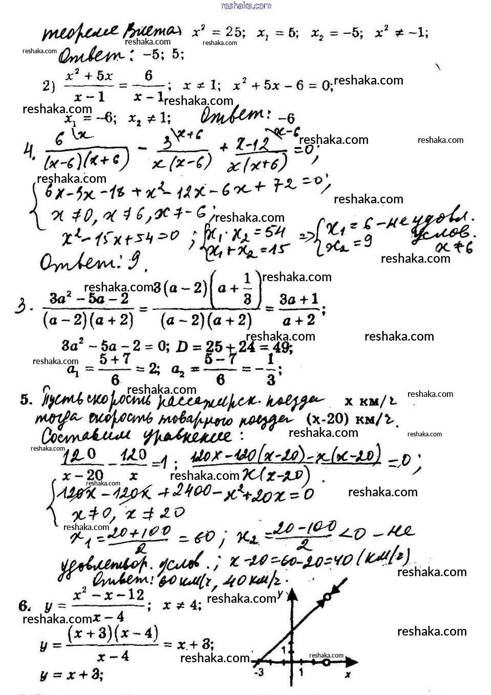
            Представляем вам сборники по Алгебре, с готовыми ответами к Дидактическим материалам Мерзляк школьной программы для учеников восьмой класса. Это не просто гдз с ответом, а с подсказками, как верно решить КР-6. Квадратный трехчлен. Решение уравнений, сводящихся к квадратным уравнениям. Решение задач с помощью рациональных уравнений Контрольные работы вариант 1. Проверяй домашку с умом и получай высший балл!