Лого сайта Reshaka.com

Решака - онлайн ответы Алгебра Мерзляк, Полонский за 8 класс Учебник ФГОС 2016 - 337

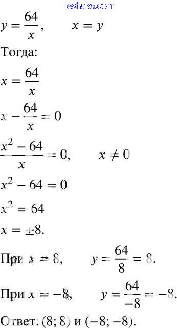
Решебник №1 к учебнику 2016

глава 1 / §10 / 337

Решебник №2 к учебнику 2016

глава 1 / §10 / 337

Решебник №3 к учебнику 2016

глава 1 / §10 / 337

Решебник №4 к учебнику 2016

глава 1 / §10 / 337

Решебник №5 к учебнику 2016

глава 1 / §10 / 337

Решебник №6 к учебнику 2016

глава 1 / §10 / 337

Представляем вам сборники по Алгебре, с готовыми ответами к Учебнику Мерзляк школьной программы для учеников восьмой класса. Это не просто гдз с ответом, а с подсказками, как верно решить §10. Функция. y=k/x и её график Глава 1. Рациональные выражения 337. Проверяй домашку с умом и получай высший балл!