Решака - онлайн ответы Алгебра Мерзляк, Полонский за 8 класс Учебник ФГОС 2016 - 146
Решебник №1 к учебнику 2016
глава 1 / §5 / 146
                            Решебник №2 к учебнику 2016
глава 1 / §5 / 146
                            Решебник №3 к учебнику 2016
глава 1 / §5 / 146
                            
                            Решебник №4 к учебнику 2016
глава 1 / §5 / 146
                            Решебник №5 к учебнику 2016
глава 1 / §5 / 146
                            Решебник №6 к учебнику 2016
глава 1 / §5 / 146
                            
                            
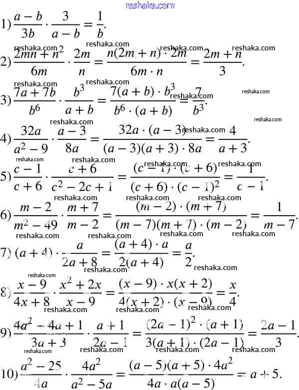
            Представляем вам сборники по Алгебре, с готовыми ответами к Учебнику Мерзляк школьной программы для учеников восьмой класса. Это не просто гдз с ответом, а с подсказками, как верно решить §5. Умножение и деление рациональных дробей. Возведение рациональной дроби в степень Глава 1. Рациональные выражения 146. Проверяй домашку с умом и получай высший балл!