Лого сайта Reshaka.com

Решака - онлайн ответы Алгебра Мерзляк, Полонский за 8 класс Учебник ФГОС 2016 - 362

Решебник №1 к учебнику 2016

глава 2 / §11 / 362

Решебник №2 к учебнику 2016

глава 2 / §11 / 362

Решебник №3 к учебнику 2016

глава 2 / §11 / 362

Решебник №4 к учебнику 2016

глава 2 / §11 / 362

Решебник №5 к учебнику 2016

глава 2 / §11 / 362

Решебник №6 к учебнику 2016

глава 2 / §11 / 362

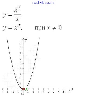
Представляем вам сборники по Алгебре, с готовыми ответами к Учебнику Мерзляк школьной программы для учеников восьмой класса. Это не просто гдз с ответом, а с подсказками, как верно решить §11. Функция y= x² Глава 2. Квадратные корни. Действительные числа 362. Проверяй домашку с умом и получай высший балл!