Лого сайта Reshaka.com

Решака - онлайн ответы Алгебра Мерзляк, Полонский за 8 класс Учебник ФГОС 2016 - 538

Решебник №1 к учебнику 2016

глава 2 / §17 / 538

Решебник №2 к учебнику 2016

глава 2 / §17 / 538

Решебник №4 к учебнику 2016

глава 2 / §17 / 538

Решебник №5 к учебнику 2016

глава 2 / §17 / 538

Решебник №6 к учебнику 2016

глава 2 / §17 / 538

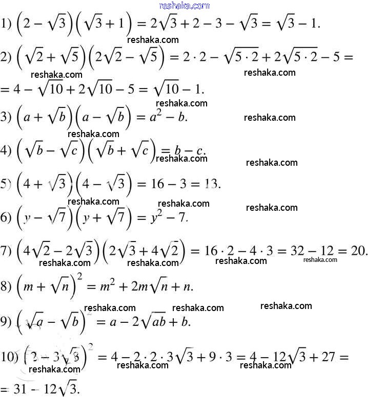
Представляем вам сборники по Алгебре, с готовыми ответами к Учебнику Мерзляк школьной программы для учеников восьмой класса. Это не просто гдз с ответом, а с подсказками, как верно решить §17. Тождественные преобразования выражений, содержащих арифметические квадратные корни Глава 2. Квадратные корни. Действительные числа 538. Проверяй домашку с умом и получай высший балл!