Лого сайта Reshaka.com

Решака - онлайн ответы Алгебра Мерзляк, Полонский за 8 класс Учебник ФГОС 2016 - 582

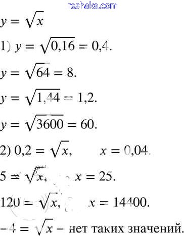
Решебник №1 к учебнику 2016

глава 2 / §18 / 582

Решебник №2 к учебнику 2016

глава 2 / §18 / 582

Решебник №3 к учебнику 2016

глава 2 / §18 / 582

Решебник №4 к учебнику 2016

глава 2 / §18 / 582

Решебник №5 к учебнику 2016

глава 2 / §18 / 582

Решебник №6 к учебнику 2016

глава 2 / §18 / 582

Представляем вам сборники по Алгебре, с готовыми ответами к Учебнику Мерзляк школьной программы для учеников восьмой класса. Это не просто гдз с ответом, а с подсказками, как верно решить §18. Функция y=√x Глава 2. Квадратные корни. Действительные числа 582. Проверяй домашку с умом и получай высший балл!