Лого сайта Reshaka.com

Решака - онлайн ответы Алгебра Мерзляк, Полонский за 8 класс Учебник ФГОС 2016 - 635

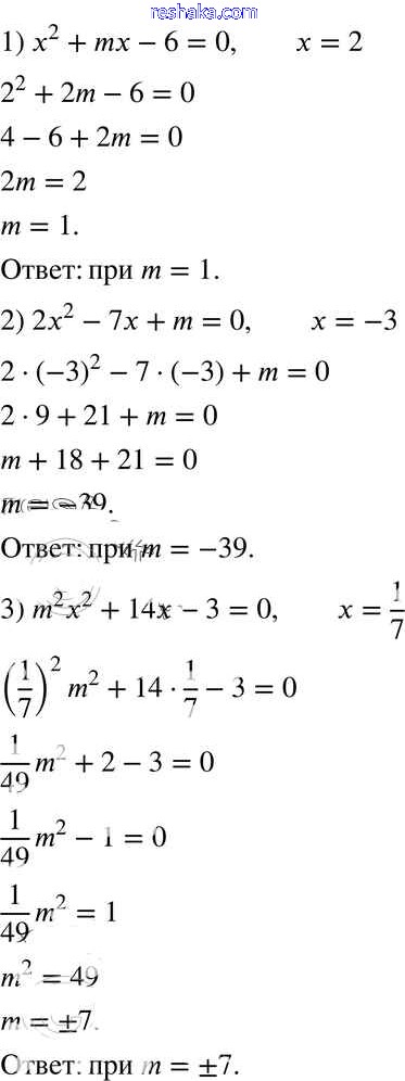
Решебник №1 к учебнику 2016

глава 3 / §19 / 635

Решебник №2 к учебнику 2016

глава 3 / §19 / 635

Решебник №3 к учебнику 2016

глава 3 / §19 / 635

Решебник №4 к учебнику 2016

глава 3 / §19 / 635

Решебник №5 к учебнику 2016

глава 3 / §19 / 635

Решебник №6 к учебнику 2016

глава 3 / §19 / 635

Представляем вам сборники по Алгебре, с готовыми ответами к Учебнику Мерзляк школьной программы для учеников восьмой класса. Это не просто гдз с ответом, а с подсказками, как верно решить §19. Квадратные уравнения. Решение неполных квадратных уравнений Глава 3. Квадратные уравнения 635. Проверяй домашку с умом и получай высший балл!