Решака - онлайн ответы Алгебра Мерзляк, Полонский за 8 класс Учебник ФГОС 2016 - 708
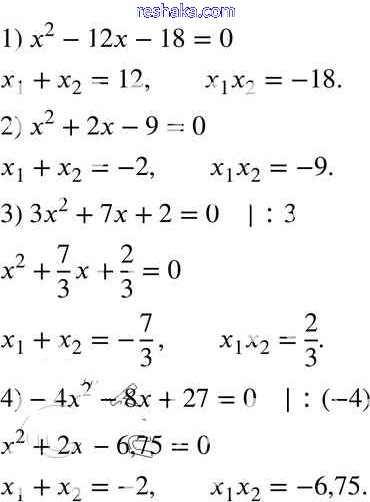
Решебник №1 к учебнику 2016
глава 3 / §21 / 708
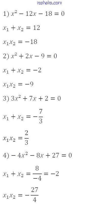
                            Решебник №2 к учебнику 2016
глава 3 / §21 / 708
                            Решебник №3 к учебнику 2016
глава 3 / §21 / 708
                            Решебник №4 к учебнику 2016
глава 3 / §21 / 708
                            Решебник №5 к учебнику 2016
глава 3 / §21 / 708
                            Решебник №6 к учебнику 2016
глава 3 / §21 / 708
                            
            Представляем вам сборники по Алгебре, с готовыми ответами к Учебнику Мерзляк школьной программы для учеников восьмой класса. Это не просто гдз с ответом, а с подсказками, как верно решить §21. Теорема Виета Глава 3. Квадратные уравнения 708. Проверяй домашку с умом и получай высший балл!