Лого сайта Reshaka.com

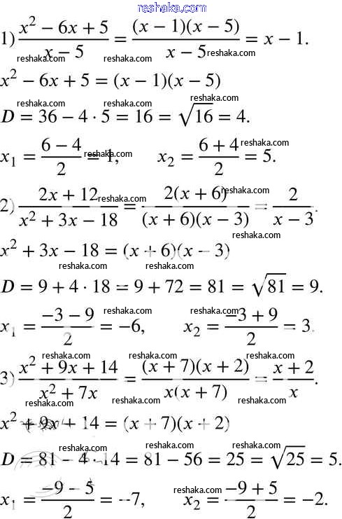
Решака - онлайн ответы Алгебра Мерзляк, Полонский за 8 класс Учебник ФГОС 2016 - 756

Решебник №1 к учебнику 2016

глава 3 / §22 / 756

Решебник №2 к учебнику 2016

глава 3 / §22 / 756

Решебник №3 к учебнику 2016

глава 3 / §22 / 756

Решебник №4 к учебнику 2016

глава 3 / §22 / 756

Решебник №5 к учебнику 2016

глава 3 / §22 / 756

Решебник №6 к учебнику 2016

глава 3 / §22 / 756

Представляем вам сборники по Алгебре, с готовыми ответами к Учебнику Мерзляк школьной программы для учеников восьмой класса. Это не просто гдз с ответом, а с подсказками, как верно решить §22. Квадратный трёхчлен Глава 3. Квадратные уравнения 756. Проверяй домашку с умом и получай высший балл!