Решака - онлайн ответы Алгебра Мерзляк, Полонский за 8 класс Учебник ФГОС 2016 - 841
Решебник №1 к учебнику 2016
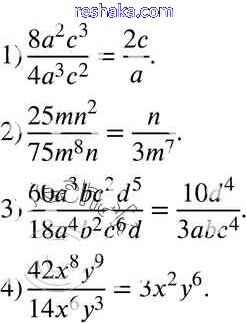
упражнение для повторения / 841
                            Решебник №2 к учебнику 2016
упражнение для повторения / 841
                            Решебник №4 к учебнику 2016
упражнение для повторения / 841
                            Решебник №6 к учебнику 2016
упражнение для повторения / 841
                            
            Представляем вам сборники по Алгебре, с готовыми ответами к Учебнику Мерзляк школьной программы для учеников восьмой класса. Это не просто гдз с ответом, а с подсказками, как верно решить Упражнения для повторения курса алгебры 8 класса  841. Проверяй домашку с умом и получай высший балл!