Лого сайта Reshaka.com

Решака - онлайн ответы Алгебра Мерзляк, Полонский за 8 класс Учебник ФГОС 2016 - 865

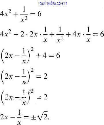
Решебник №1 к учебнику 2016

упражнение для повторения / 865

Решебник №2 к учебнику 2016

упражнение для повторения / 865

Решебник №4 к учебнику 2016

упражнение для повторения / 865

Решебник №6 к учебнику 2016

упражнение для повторения / 865

Представляем вам сборники по Алгебре, с готовыми ответами к Учебнику Мерзляк школьной программы для учеников восьмой класса. Это не просто гдз с ответом, а с подсказками, как верно решить Упражнения для повторения курса алгебры 8 класса 865. Проверяй домашку с умом и получай высший балл!