Лого сайта Reshaka.com

Решака - онлайн ответы Алгебра Минаева, Рослова за 8 класс Рабочая тетрадь ФГОС 2017 - 176

Решебник №1

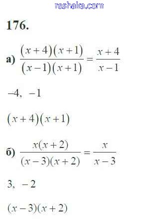
упражнение / 176

Решебник №2

упражнение / 176

Представляем вам сборники по Алгебре, с готовыми ответами к Рабочей тетради Минаева школьной программы для учеников восьмой класса. Это не просто гдз с ответом, а с подсказками, как верно решить Упражнения 176. Проверяй домашку с умом и получай высший балл!