Лого сайта Reshaka.com

Решака - онлайн ответы Алгебра Мордкович, Александрова за 8 класс Задачник Базовый уровень ФГОС 2021 - 4.30

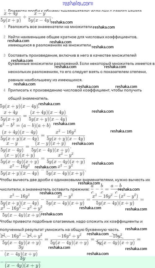
Представляем вам сборники по Алгебре, с готовыми ответами к Задачнику Мордкович школьной программы для учеников восьмой класса. Это не просто гдз с ответом, а с подсказками, как верно решить §4. Сложение и вычитание алгебраических дробей с разными знаменателями 4.30. Проверяй домашку с умом и получай высший балл!