Лого сайта Reshaka.com

Решака - онлайн ответы Алгебра Мордкович, Александрова за 8 класс Задачник Базовый уровень ФГОС 2021 - 16.90

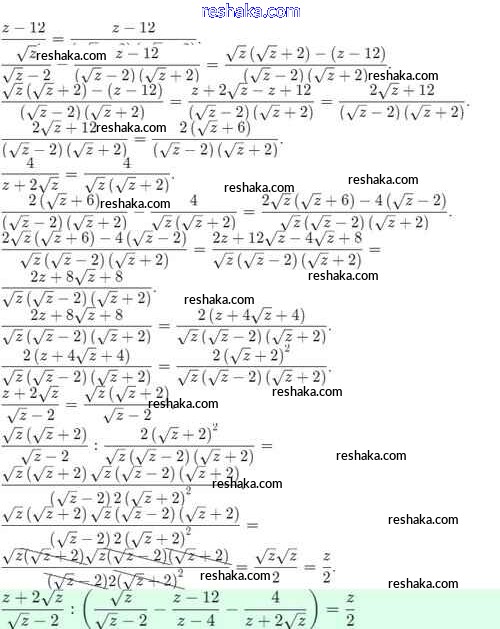
Представляем вам сборники по Алгебре, с готовыми ответами к Задачнику Мордкович школьной программы для учеников восьмой класса. Это не просто гдз с ответом, а с подсказками, как верно решить §16. Преобразование выражений, содержащих операцию извлечения квадратного корня 16.90. Проверяй домашку с умом и получай высший балл!