Лого сайта Reshaka.com

Решака - онлайн ответы Алгебра Мордкович, Александрова за 8 класс Задачник Базовый уровень ФГОС 2021 - 32.37

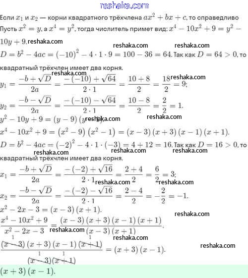
Представляем вам сборники по Алгебре, с готовыми ответами к Задачнику Мордкович школьной программы для учеников восьмой класса. Это не просто гдз с ответом, а с подсказками, как верно решить §32. Теорема Виета и её применение 32.37. Проверяй домашку с умом и получай высший балл!