Лого сайта Reshaka.com

Решака - онлайн ответы Алгебра Мордкович, Александрова за 8 класс Задачник Базовый уровень ФГОС 2021 - 8

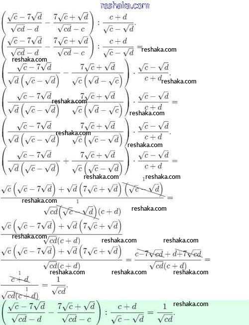
Решебник

домашние контрольные работы / домашняя контрольная работа 2 / вариант 1 / 8

Представляем вам сборники по Алгебре, с готовыми ответами к Задачнику Мордкович школьной программы для учеников восьмой класса. Это не просто гдз с ответом, а с подсказками, как верно решить Вариант 1 Домашняя контрольная работа 2 8. Проверяй домашку с умом и получай высший балл!