Лого сайта Reshaka.com

Решака - онлайн ответы Алгебра Мордкович за 8 класс Задачник Углубленный уровень ФГОС 2016 - 54

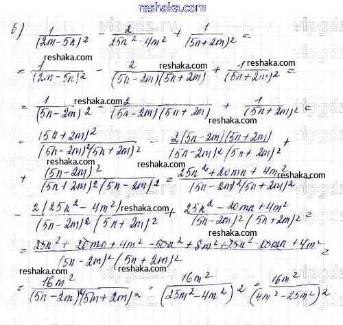
Представляем вам сборники по Алгебре, с готовыми ответами к Задачнику Мордкович школьной программы для учеников восьмой класса. Это не просто гдз с ответом, а с подсказками, как верно решить Параграф 2 54. Проверяй домашку с умом и получай высший балл!