Лого сайта Reshaka.com

Решака - онлайн ответы Алгебра Мишустина, Мордкович за 8 класс Задачник Базовый уровень ФГОС 2015 - 28

Условия

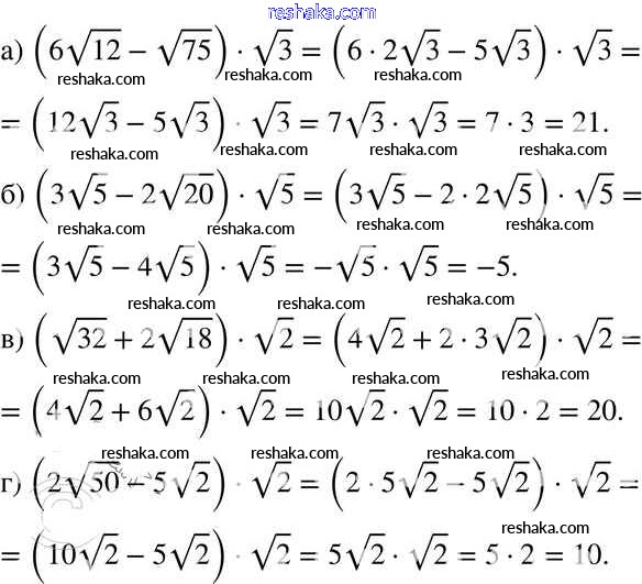
параграф 15 / 28

Решебник 1

параграф 15 / 28

Решебник 2

параграф 15 / 28

Представляем вам сборники по Алгебре, с готовыми ответами к Задачнику Мишустина школьной программы для учеников восьмой класса. Это не просто гдз с ответом, а с подсказками, как верно решить Параграф 15 28. Проверяй домашку с умом и получай высший балл!