Лого сайта Reshaka.com

Решака - онлайн ответы Алгебра Мишустина, Мордкович за 8 класс Задачник Базовый уровень ФГОС 2015 - 31

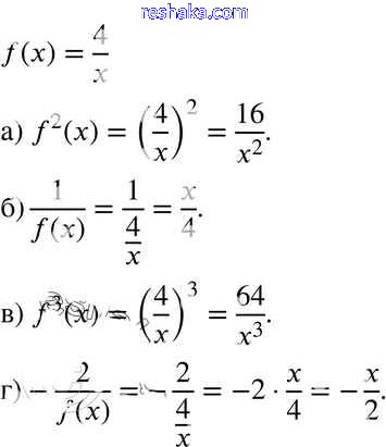
Условия

параграф 18 / 31

Решебник 1

параграф 18 / 31

Решебник 2

параграф 18 / 31

Представляем вам сборники по Алгебре, с готовыми ответами к Задачнику Мишустина школьной программы для учеников восьмой класса. Это не просто гдз с ответом, а с подсказками, как верно решить Параграф 18 31. Проверяй домашку с умом и получай высший балл!