Лого сайта Reshaka.com

Решака - онлайн ответы Алгебра Мишустина, Мордкович за 8 класс Задачник Базовый уровень ФГОС 2015 - 149

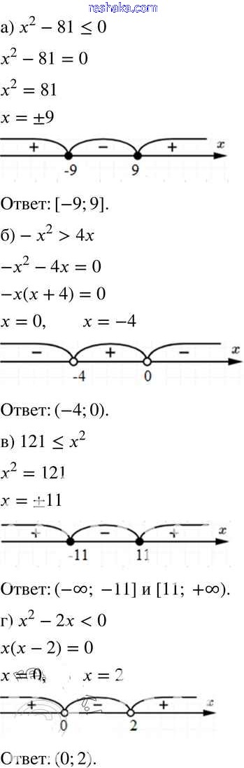
Условия

повторение / 149

Решебник 1

повторение / 149

Решебник 2

повторение / 149

Представляем вам сборники по Алгебре, с готовыми ответами к Задачнику Мишустина школьной программы для учеников восьмой класса. Это не просто гдз с ответом, а с подсказками, как верно решить Итоговое повторение 149. Проверяй домашку с умом и получай высший балл!