Лого сайта Reshaka.com

Решака - онлайн ответы Алгебра Мишустина, Мордкович за 8 класс Задачник Базовый уровень ФГОС 2015 - 8

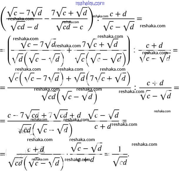
Условия

работа / глава 2. вариант / 1 / 8

Решебник 1

работа / глава 2. вариант / 1 / 8

Решебник 2

работа / глава 2. вариант / 1 / 8

Представляем вам сборники по Алгебре, с готовыми ответами к Задачнику Мишустина школьной программы для учеников восьмой класса. Это не просто гдз с ответом, а с подсказками, как верно решить 1 Глава 2. Варианты 8. Проверяй домашку с умом и получай высший балл!