Лого сайта Reshaka.com

Решака - онлайн ответы Алгебра Мишустина, Мордкович за 8 класс Задачник Базовый уровень ФГОС 2015 - 1

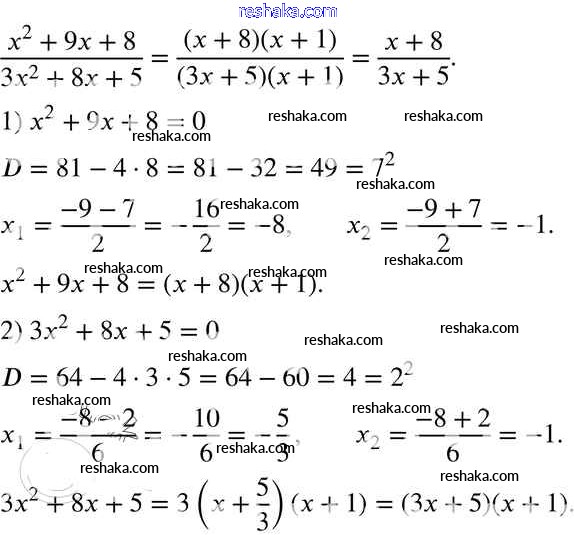
Условия

работа / глава 4. вариант / 2 / 1

Решебник 1

работа / глава 4. вариант / 2 / 1

Решебник 2

работа / глава 4. вариант / 2 / 1

Представляем вам сборники по Алгебре, с готовыми ответами к Задачнику Мишустина школьной программы для учеников восьмой класса. Это не просто гдз с ответом, а с подсказками, как верно решить 2 Глава 4. Варианты 1. Проверяй домашку с умом и получай высший балл!