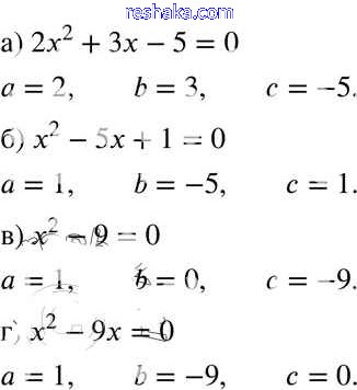
Решака - онлайн ответы Алгебра Никольский, Потапов за 8 класс Учебник ФГОС 2014 - 213
Решебник
глава 2 / 213
                            Решебник №2
глава 2 / 213
                            Решебник №3
глава 2 / 213
                            
            Представляем вам сборники по Алгебре, с готовыми ответами к Учебнику Никольский школьной программы для учеников восьмой класса. Это не просто гдз с ответом, а с подсказками, как верно решить Глава 2 (упражнения с 198 по 358)  213. Проверяй домашку с умом и получай высший балл!