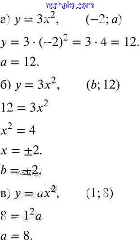
Решака - онлайн ответы Алгебра Никольский, Потапов за 8 класс Учебник ФГОС 2014 - 439
Решебник
глава 3 / 439
                            Решебник №2
глава 3 / 439
                            Решебник №3
глава 3 / 439
                            
            Представляем вам сборники по Алгебре, с готовыми ответами к Учебнику Никольский школьной программы для учеников восьмой класса. Это не просто гдз с ответом, а с подсказками, как верно решить Глава 3 (упражнения с 359 по 523)  439. Проверяй домашку с умом и получай высший балл!