Лого сайта Reshaka.com

Решака - онлайн ответы Алгебра Никольский, Потапов за 8 класс Учебник ФГОС 2014 - 546

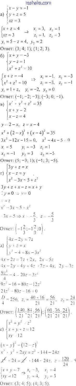
Решебник

глава 4 / 546

Решебник №2

глава 4 / 546

Решебник №3

глава 4 / 546

Представляем вам сборники по Алгебре, с готовыми ответами к Учебнику Никольский школьной программы для учеников восьмой класса. Это не просто гдз с ответом, а с подсказками, как верно решить Глава 4 (упражнения с 524 по 612) 546. Проверяй домашку с умом и получай высший балл!