Лого сайта Reshaka.com

Решака - онлайн ответы Алгебра Никольский, Потапов за 8 класс Учебник ФГОС 2014 - 16

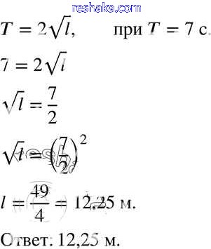
Решебник

самоконтроль / 16

Решебник №2

самоконтроль / 16

Представляем вам сборники по Алгебре, с готовыми ответами к Учебнику Никольский школьной программы для учеников восьмой класса. Это не просто гдз с ответом, а с подсказками, как верно решить Задание для самоконтроля 16. Проверяй домашку с умом и получай высший балл!