Лого сайта Reshaka.com

Решака - онлайн ответы Алгебра Никольский, Потапов за 8 класс Учебник ФГОС 2014 - 7

Решебник

самоконтроль / 7

Решебник №2

самоконтроль / 7

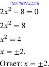
Представляем вам сборники по Алгебре, с готовыми ответами к Учебнику Никольский школьной программы для учеников восьмой класса. Это не просто гдз с ответом, а с подсказками, как верно решить Задание для самоконтроля 7. Проверяй домашку с умом и получай высший балл!