Лого сайта Reshaka.com

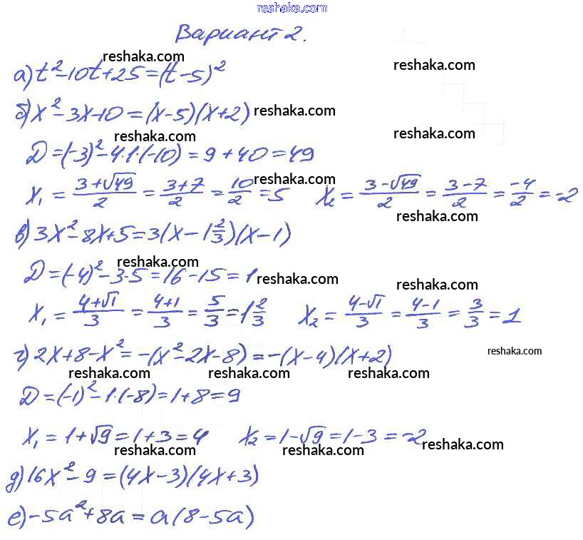
Решака - онлайн ответы Алгебра Евстафьева, Карп за 8 класс Дидактические материалы ФГОС 2017 - Вариант 2

Решебник 1

задание / п-35 / вариант 2

Решебник 2

задание / п-35 / вариант 2

Представляем вам сборники по Алгебре, с готовыми ответами к Дидактическим материалам Евстафьева школьной программы для учеников восьмой класса. Это не просто гдз с ответом, а с подсказками, как верно решить П-35. Разложение квадратного трехчлена на множители Проверочные задания Вариант 2. Проверяй домашку с умом и получай высший балл!