Лого сайта Reshaka.com

Решака - онлайн ответы Алгебра Жохов, Макарычев за 8 класс Дидактические материалы ФГОС 2014 - 9

Решебник 1

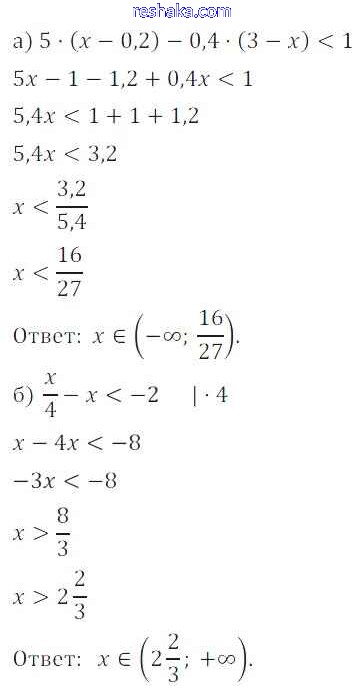
повторение (Тиляковский) / неравенства / 9

Представляем вам сборники по Алгебре, с готовыми ответами к Дидактическим материалам Жохов школьной программы для учеников восьмой класса. Это не просто гдз с ответом, а с подсказками, как верно решить Неравенства Итоговое повторение (под ред. Тиляковского) 9. Проверяй домашку с умом и получай высший балл!