Лого сайта Reshaka.com

Решака - онлайн ответы Алгебра Журавлев, Перепелкина за 8 класс Рабочая тетрадь ФГОС 2013 - стр.48

Решебник

глава 2 / параграф 5 / стр.48

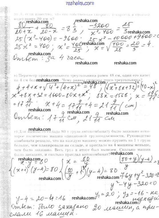
Представляем вам сборники по Алгебре, с готовыми ответами к Рабочей тетради Журавлев школьной программы для учеников восьмой класса. Это не просто гдз с ответом, а с подсказками, как верно решить Параграф 5 Глава 2 стр.48. Проверяй домашку с умом и получай высший балл!