Лого сайта Reshaka.com

Решака - онлайн ответы Алгебра Звавич, Дьяконова за 8 класс Дидактические материалы ФГОС 2015 - 19

Решебник

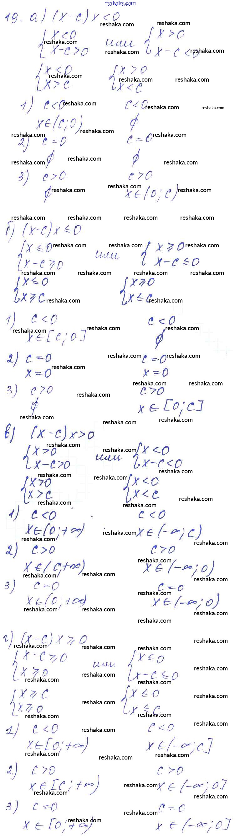
приложение / упражнение / вариант 1 / 19

Представляем вам сборники по Алгебре, с готовыми ответами к Дидактическим материалам Звавич школьной программы для учеников восьмой класса. Это не просто гдз с ответом, а с подсказками, как верно решить Вариант 1 Упражнения с параметрами 19. Проверяй домашку с умом и получай высший балл!