Решака - онлайн ответы Алгебра Дорофеев, Суворова за 9 класс Учебник ФГОС 2016 - 110
Решебник к учебнику 2019
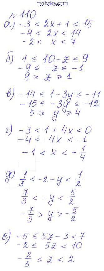
упражнение / 110

Решебник к учебнику 2016
упражнение / 110

Представляем вам сборники по Алгебре, с готовыми ответами к Учебнику Дорофеев школьной программы для учеников девятый класса. Это не просто гдз с ответом, а с подсказками, как верно решить Упражнения 110. Проверяй домашку с умом и получай высший балл!