Решака - онлайн ответы Алгебра Глазков, Варшавский за 9 класс Самостоятельные и контрольные работы ФГОС 2013 - вариант 1
Решебник
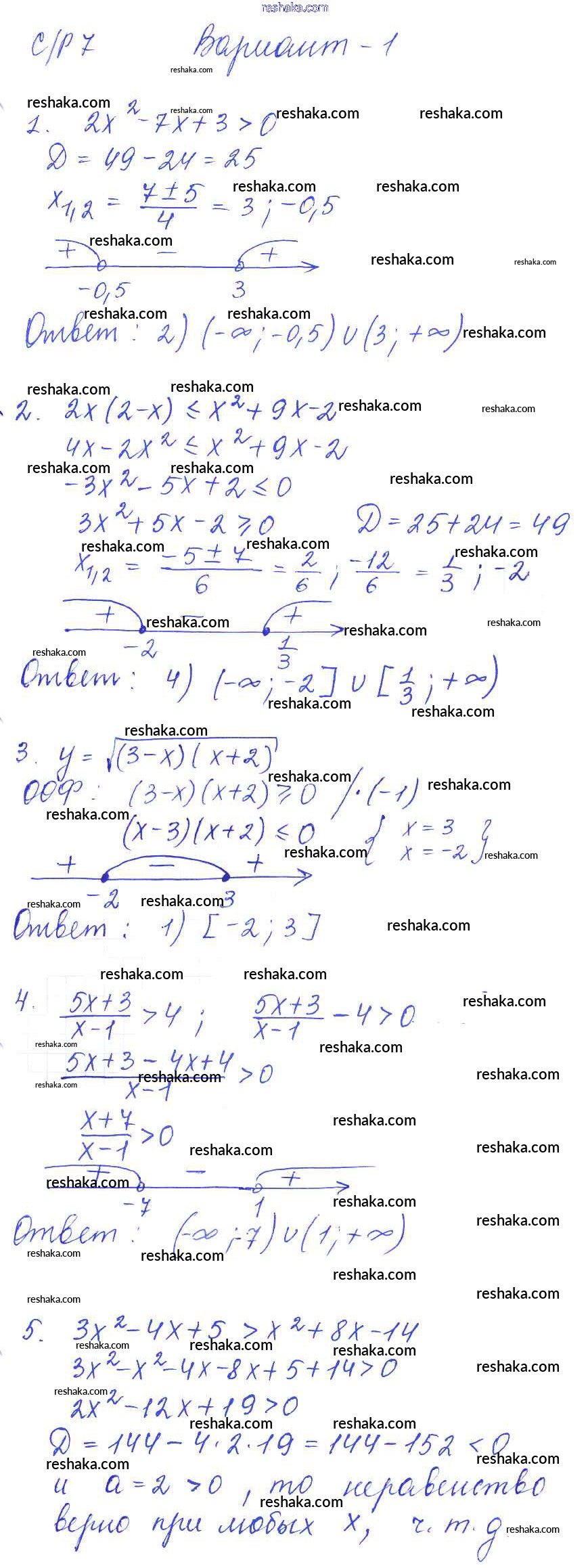
самостоятельная работа / ср-7 / вариант 1

Представляем вам сборники по Алгебре, с готовыми ответами к Самостоятельным и контрольным работам Глазков школьной программы для учеников девятый класса. Это не просто гдз с ответом, а с подсказками, как верно решить СР-7. Неравенства с одной переменной Самостоятельные работы вариант 1. Проверяй домашку с умом и получай высший балл!