Лого сайта Reshaka.com

Решака - онлайн ответы Алгебра Евстафьева, Карп за 9 класс Дидактические материалы ФГОС 2017 - 13

Решебник 2

обучающая работа / о-3 / 13

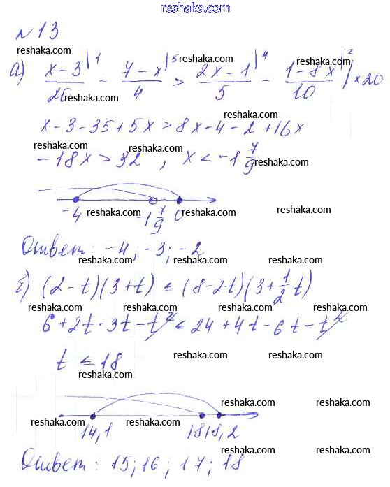
Представляем вам сборники по Алгебре, с готовыми ответами к Дидактическим материалам Евстафьева школьной программы для учеников девятый класса. Это не просто гдз с ответом, а с подсказками, как верно решить О-3. Решение неравенств Обучающие работы 13. Проверяй домашку с умом и получай высший балл!