Лого сайта Reshaka.com

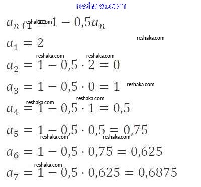
Решака - онлайн ответы Алгебра Колягин, Ткачева за 9 класс Учебник ФГОС 2015 - 235

Представляем вам сборники по Алгебре, с готовыми ответами к Учебнику Колягин школьной программы для учеников девятый класса. Это не просто гдз с ответом, а с подсказками, как верно решить Упражнения 235. Проверяй домашку с умом и получай высший балл!