Лого сайта Reshaka.com

Решака - онлайн ответы Алгебра Колягин, Ткачева за 9 класс Учебник ФГОС 2015 - 7

Решебник

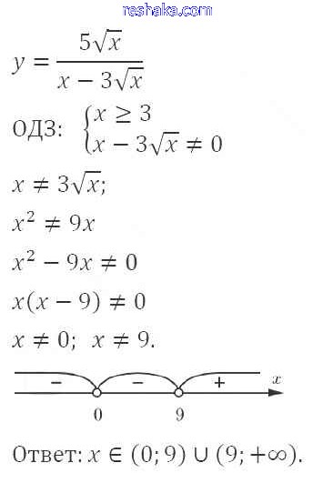
проверь себя / глава 2 / 7

Представляем вам сборники по Алгебре, с готовыми ответами к Учебнику Колягин школьной программы для учеников девятый класса. Это не просто гдз с ответом, а с подсказками, как верно решить Глава 2 Проверь себя 7. Проверяй домашку с умом и получай высший балл!