Лого сайта Reshaka.com

Решака - онлайн ответы Алгебра Колягин, Ткачева за 9 класс Учебник ФГОС 2015 - 11

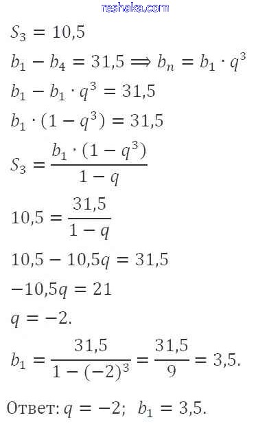
Решебник

проверь себя / глава 3 / 11

Представляем вам сборники по Алгебре, с готовыми ответами к Учебнику Колягин школьной программы для учеников девятый класса. Это не просто гдз с ответом, а с подсказками, как верно решить Глава 3 Проверь себя 11. Проверяй домашку с умом и получай высший балл!