Решака - онлайн ответы Алгебра Макарычев, Миндюк за 9 класс Учебник ФГОС 2014 - 229
Решебник №1
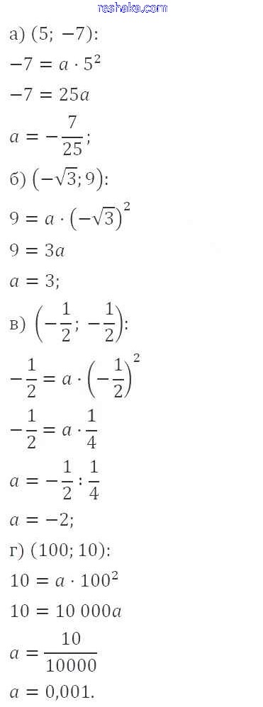
глава 1 / 229

Решебник №2
глава 1 / 229

Представляем вам сборники по Алгебре, с готовыми ответами к Учебнику Макарычев школьной программы для учеников девятый класса. Это не просто гдз с ответом, а с подсказками, как верно решить Глава 1. Квадратичная функция (упражнения) 229. Проверяй домашку с умом и получай высший балл!