Решака - онлайн ответы Алгебра Макарычев, Миндюк за 9 класс Учебник ФГОС 2014 - 309
Решебник №1
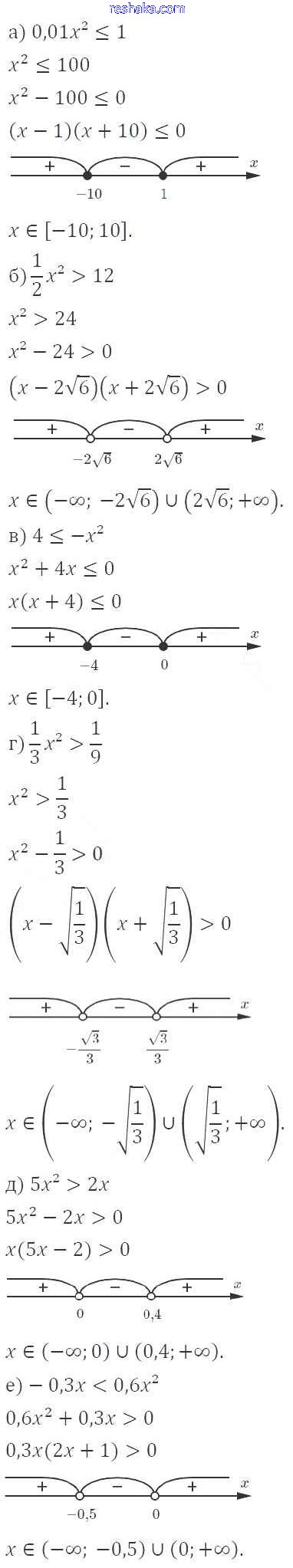
глава 2 / 309


Решебник №2
глава 2 / 309

Представляем вам сборники по Алгебре, с готовыми ответами к Учебнику Макарычев школьной программы для учеников девятый класса. Это не просто гдз с ответом, а с подсказками, как верно решить Глава 2. Уравнения и неравенства с одной переменной (упражнения) 309. Проверяй домашку с умом и получай высший балл!