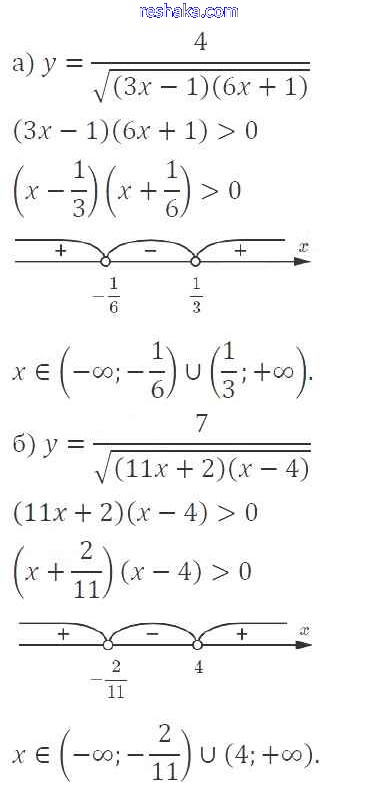
Решака - онлайн ответы Алгебра Макарычев, Миндюк за 9 класс Учебник ФГОС 2014 - 391
Решебник №1
глава 2 / 391

Решебник №2
глава 2 / 391

Представляем вам сборники по Алгебре, с готовыми ответами к Учебнику Макарычев школьной программы для учеников девятый класса. Это не просто гдз с ответом, а с подсказками, как верно решить Глава 2. Уравнения и неравенства с одной переменной (упражнения) 391. Проверяй домашку с умом и получай высший балл!