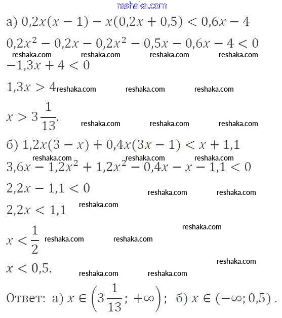
Решака - онлайн ответы Алгебра Макарычев, Миндюк за 9 класс Учебник ФГОС 2014 - 453
Решебник №1
глава 3 / 453

Решебник №2
глава 3 / 453

Представляем вам сборники по Алгебре, с готовыми ответами к Учебнику Макарычев школьной программы для учеников девятый класса. Это не просто гдз с ответом, а с подсказками, как верно решить Глава 3. Уравнения и неравенства с двумя переменными (упражнения) 453. Проверяй домашку с умом и получай высший балл!