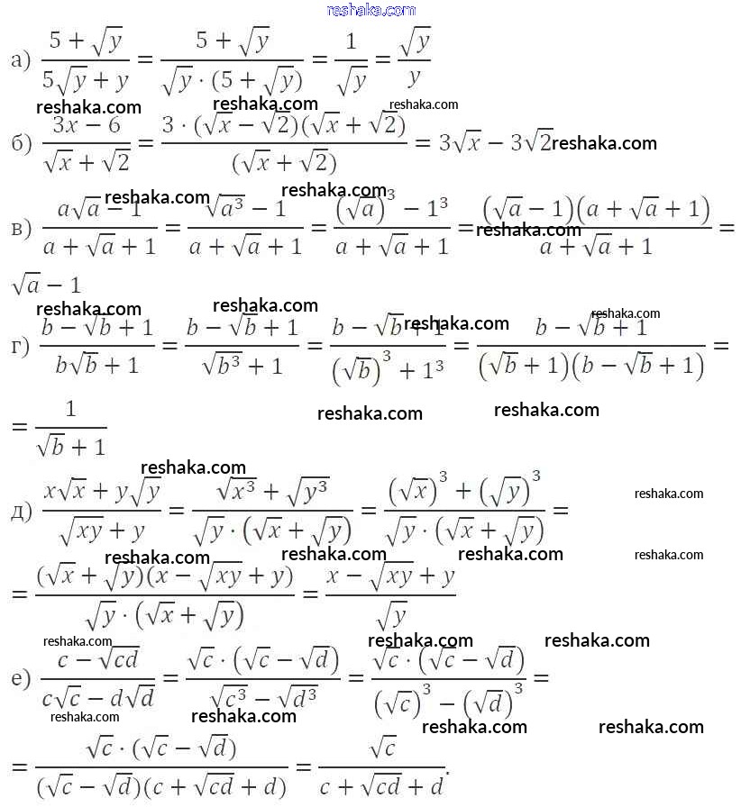
Решака - онлайн ответы Алгебра Макарычев, Миндюк за 9 класс Учебник ФГОС 2014 - 922
Решебник №1
повторение / 922

Решебник №2
повторение / 922

Представляем вам сборники по Алгебре, с готовыми ответами к Учебнику Макарычев школьной программы для учеников девятый класса. Это не просто гдз с ответом, а с подсказками, как верно решить Упражнения для повторения курса 7-9 классов 922. Проверяй домашку с умом и получай высший балл!