Решака - онлайн ответы Алгебра Макарычев, Миндюк за 9 класс Дидактические материалы ФГОС 2015 - Вариант 1
Решебник
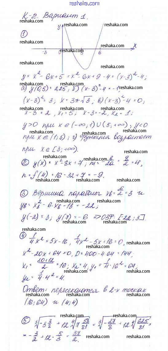
контрольная работа / кр-2 / вариант 1

Представляем вам сборники по Алгебре, с готовыми ответами к Дидактическим материалам Макарычев школьной программы для учеников девятый класса. Это не просто гдз с ответом, а с подсказками, как верно решить КР-2 Контрольные работы Вариант 1. Проверяй домашку с умом и получай высший балл!